Chatbox

Bac Sc expérimentales

Chargement 0%
Aucun texte alternatif disponible.

Confirmer?


Math 197

Photo de Mesfar Nejah
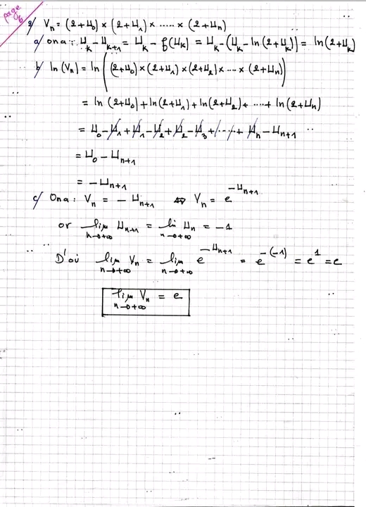
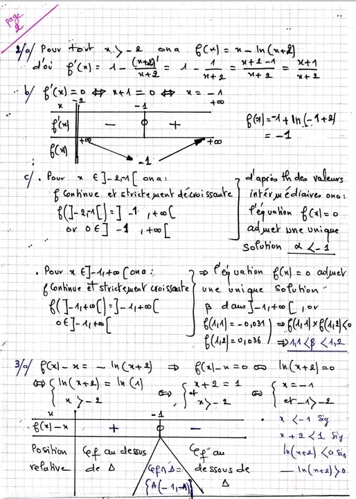
Bac sciences expérimentales Correction de l'exercice 4 ( bac 2023 session de contrôle)
Preview
1756490953241.jpg
0
Preview
1756490954822.jpg
0
Preview
1756490957700.jpg
0
Preview
1756490960319.jpg
0
Preview
1756490962107.jpg
0
Preview
1756490963758.jpg
0
Preview
1756490965248.jpg
0
1040382.pdf
0

Notre chaîne Classi.tn ❤️

Rejoignez notre communauté sur Messenger pour ne rien rater de nos actualités, astuces et contenus exclusifs !

Messenger
Classi.tn - Plateforme éducative tunisienne
Rejoindre la chaîne
Communauté active
Notifications exclusives
Contenus éducatifs