Chatbox

3 ème économie et gestion

Chargement 0%
Aucun texte alternatif disponible.

Confirmer?

Rechercher dans cette classe


Photo de Mesfar Nejah
Pour la 3ème Économie Gestion📝✅
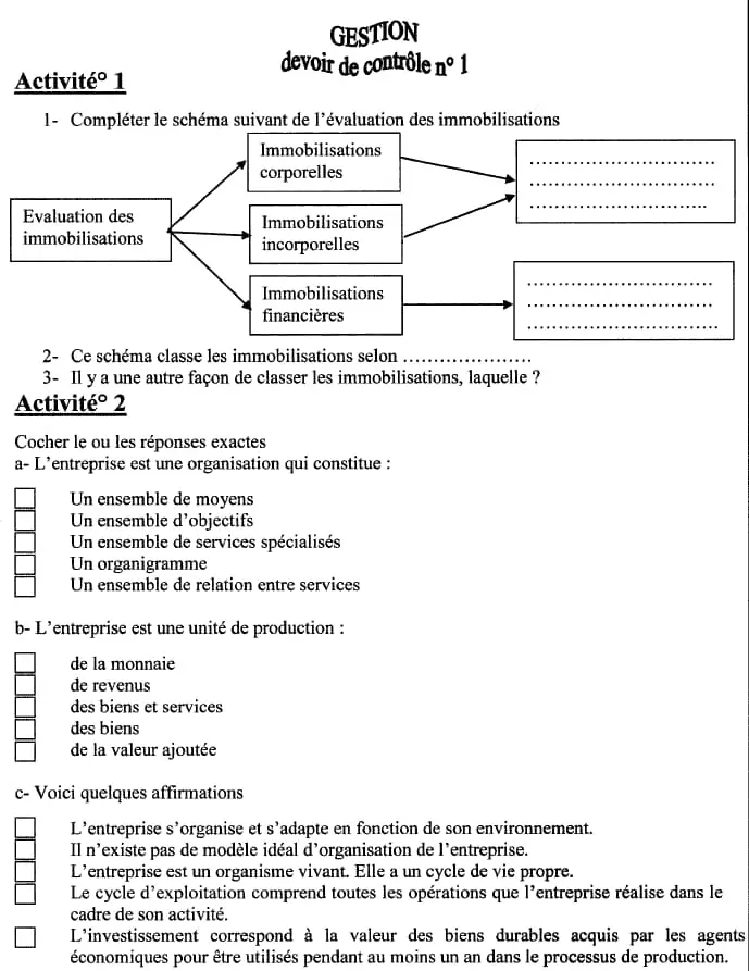
📚 Devoir de contrôle n°1 📚
📖 énoncé+ corrigé 📖
Merci à l'auteur de ce travail
+7
❤️ 1
Chargement...
0 Commentaires
  

Commentaires

Aucun commentaire pour le moment.

Photo de Mesfar Nejah
Pour 3 ème Économie Gestion 📝✅
📚 Devoir n°2 📚
📖 énoncé+ corrigé 📖
+5
0 Commentaires
  

Commentaires

Aucun commentaire pour le moment.

Photo de Mesfar Nejah
Devoir de Synthese 3 gestion 3ème éco régional 2023
+5
0 Commentaires
  

Commentaires

Aucun commentaire pour le moment.

Photo de khouloud benabdalleh
formule gestion
0 Commentaires
  

Commentaires

Aucun commentaire pour le moment.

Photo de Mesfar Nejah
Résumé gestion
3éme éco et gestion 💗💗💗🔥
+3
0 Commentaires
  

Commentaires

Aucun commentaire pour le moment.

Photo de Classi.tn
devoir de contrôle n°1 Gestion
3eme
+1
0 Commentaires
  

Commentaires

Aucun commentaire pour le moment.

Photo de Classi.tn

Devoir de contrôle gestion 3 ème 3a chapitre 1 et 2.❤️❤️❤️🔥
+5
0 Commentaires
  

Commentaires

Aucun commentaire pour le moment.

Photo de Classi.tn
Devoir de contrôle n°1 3 EG 1 (Sujet A)
+2
0 Commentaires
  

Commentaires

Aucun commentaire pour le moment.

Photo de Classi.tn
3 ème gestion
Devoir de contrôle 1 gestion correction
+3
1
0 Commentaires
  

Commentaires

Aucun commentaire pour le moment.

Photo de Classi.tn
Devoir de contrôle N1 Economie 3éme année avec coorection ❤️💪 

+1
0 Commentaires
  

Commentaires

Aucun commentaire pour le moment.

Photo de Classi.tn
Revision 3 ème année gestion
+3
1
👍 1
Chargement...
0 Commentaires
  

Commentaires

Aucun commentaire pour le moment.

Photo de Classi.tn
Chapitre consolidation 3eme eco en gestion
+3
0 Commentaires
  

Commentaires

Aucun commentaire pour le moment.

Photo de Classi.tn
Pour 3 ème économie gestion :
Chapitre 1 : Module évaluation - consolidation
série des exercices + correction
Merci à l'auteur de ce travail
+19
1
0 Commentaires
  

Commentaires

Aucun commentaire pour le moment.

Photo de Classi.tn
2 devoirs de synthèse n°1 Gestion avec corrige
+11
0 Commentaires
  

Commentaires

Aucun commentaire pour le moment.

Photo de Classi.tn
Devoir de synthèse n°1 Gestion
3eme gestion
+4
1 Commentaires
  

Commentaires

Correction svp
Le 2024-11-17 à 15:52:00
Photo de Classi.tn
Devoir de contrôle 4 en GESTION (fonction financière)
+1
0 Commentaires
  

Commentaires

Aucun commentaire pour le moment.

Photo de Classi.tn
devoir de controle n 1 Gestion
3eme annee
+2
1 Commentaires
  

Commentaires

SindaOfficiel SindaOfficiel
دفوارات ايكو ثالثة اقتصاد
Le 2025-05-18 à 09:24:00
Photo de Classi.tn
Révision pour DS3 Gestion (3ème économie et gestion)
Série de révision : La fonction financière
+2
0 Commentaires
  

Commentaires

Aucun commentaire pour le moment.

Photo de Classi.tn
devoir de synthese b°3 Gestion
+2
0 Commentaires
  

Commentaires

Aucun commentaire pour le moment.

Photo de Classi.tn
Gestion 3 ème année
0 Commentaires
  

Commentaires

Aucun commentaire pour le moment.

classi.tn
🤖 classi.tn
مرحبًا! ماذا تريد أن تفعل اليوم؟