Chatbox

Bac Technique

Chargement 0%
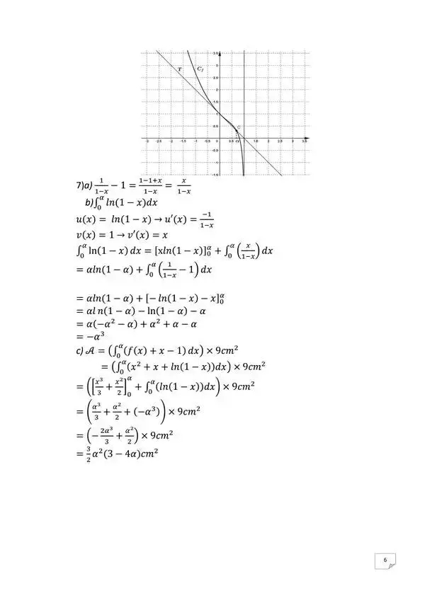
Aucun texte alternatif disponible.

Confirmer?

Rechercher dans cette classe


Math 75

Photo de Mesfar Nejah
إمتحان الفيزياء باكالوريا تقنية الدورة الرئيسية باكالوريا 2025 .
+3
0 Commentaires
  

Commentaires

Aucun commentaire pour le moment.

Photo de Mesfar Nejah

امتحان الرياضيات - شعبة العلوم التقنية - الدورة الرئيسية 2025


+2
0 Commentaires
  

Commentaires

Aucun commentaire pour le moment.

Photo de Mesfar Nejah
Corrigé CMS +Sujets avec correction mathematiques session du 2002 au 2012

Bac Tec

❤️ 2
Chargement...
0 Commentaires
  

Commentaires

Aucun commentaire pour le moment.

Photo de Waili Adel
Série de révision  complexe (4tec-2024)
👍 1
Chargement...
2 Commentaires
  

Commentaires

med amin chaabenemed amin chaabene
prv
Le 2025-03-25 à 02:24:00
med amin chaabenemed amin chaabene
TNJME TEB3thli fil prv menjemch n7elou
Le 2025-03-25 à 02:23:00
Photo de Waili Adel
Devoir de synthèse n°2 avec correction  (4tec-2025).pdf
1 Commentaires
  

Commentaires

med amin chaabenemed amin chaabene
TNJME TEB3thli fil prv menjemch n7elou
Le 2025-03-25 à 02:20:00
Photo de Classi Interactif
révision math bac blanc
0 Commentaires
  

Commentaires

Aucun commentaire pour le moment.

Photo de Classi Interactif
devoir de synthèse n2
0 Commentaires
  

Commentaires

Aucun commentaire pour le moment.

Photo de Classi Interactif
Série de révision complexe
0 Commentaires
  

Commentaires

Aucun commentaire pour le moment.

Photo de Classi Interactif
Devoir de synthèse n°1 bac technique
1 Commentaires
  

Commentaires

med amin chaabenemed amin chaabene
prv
Le 2025-03-25 à 02:26:00
Photo de Dhia slama
DC1 bac technique avec correction
1 Commentaires
  

Commentaires

Classi.tnClassi.tn
Merci
Le 2024-10-13 à 00:17:00
Photo de Mesfar Nejah
Thème Géométrie d'ans l'espace Bac Sciences + Technique - Prof : SELMI Rochdi
+1
1
0 Commentaires
  

Commentaires

Aucun commentaire pour le moment.

Photo de Classi.tn
devoir de contrôle n1 4Tech Correction
prof: Maatallah Kamel

+2
1
0 Commentaires
  

Commentaires

Aucun commentaire pour le moment.

Photo de Classi.tn
Résume Math Bac
Section : Science +Technique +Math
+13
2
0 Commentaires
  

Commentaires

Aucun commentaire pour le moment.

Photo de Classi.tn
Devoir Math Pilote Sfax Bac Sciences & Tech
+5
0 Commentaires
  

Commentaires

Aucun commentaire pour le moment.

Photo de Classi.tn
Épreuve Corrigée du BAC 2019
Section : #Sciences_Techniques
Épreuve : #Mathématiques [8 pages]
Session : Principale
+6
0 Commentaires
  

Commentaires

Aucun commentaire pour le moment.

Photo de Classi.tn
Fonction Exponentielle : Résumé de cours avec une application pour les bacheliers , spécialité : Sciences, Math, Tech, Info et Eco Gestion
Merci à l'auteur de ce travail
+11
0 Commentaires
  

Commentaires

Aucun commentaire pour le moment.

Photo de Classi.tn
CORRECTION
Contrôle 2023
Bac tech
+7
1
0 Commentaires
  

Commentaires

Aucun commentaire pour le moment.

Photo de Classi.tn
BAC 2020 : SESSION PRINCIPALE
ÉPREUVE MATHS/ SECTION : SCIENCES TECHNIQUES
+2
0 Commentaires
  

Commentaires

Aucun commentaire pour le moment.

Photo de Classi.tn
Une correction de l’épreuve de mathématiques bac 2020
Section : Sciences techniques
+6
1 Commentaires
  

Commentaires

JaouadiJaouadi
تسجيل الدخول ؟؟؟؟
Le 2025-01-16 à 13:37:00
Photo de Classi.tn
devoir de synthèse n°3 math +correction
+3
0 Commentaires
  

Commentaires

Aucun commentaire pour le moment.

classi.tn
🤖 classi.tn
مرحبًا! ماذا تريد أن تفعل اليوم؟