Chatbox

Bac Econmie et Gestion

Chargement 0%
Aucun texte alternatif disponible.

Confirmer?

Rechercher dans cette classe


Photo de Classi.tn
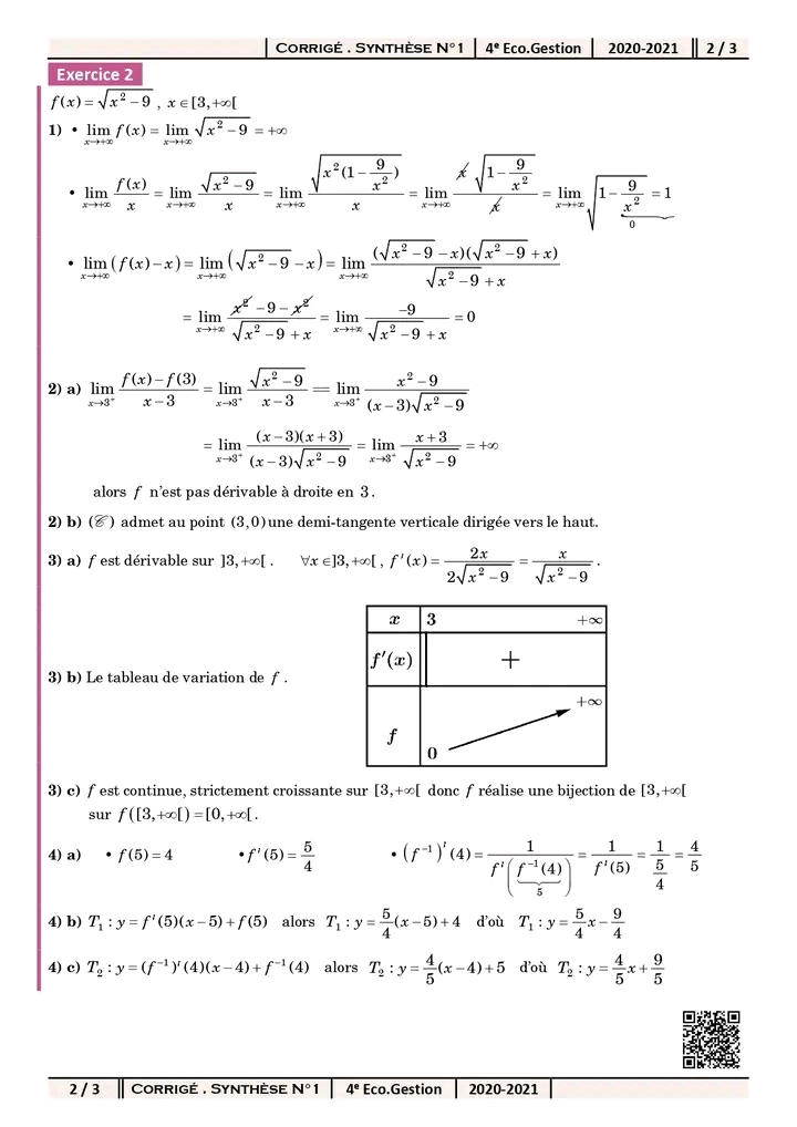
Devoir controle n• 2 Bac Eco
graphe probabilite ln
Merci à l'auteur de ce travail Khalil Allali

+1
❤️ 1
Chargement...
0 Commentaires
  

Commentaires

Aucun commentaire pour le moment.

Photo de Mesfar Nejah
⚡ Si 𝒻(𝓍) = 𝟦𝓍⁴, quelle est la dérivée 𝒻'(𝓍) de la fonction ?
0 Commentaires
  

Commentaires

Aucun commentaire pour le moment.

Photo de Mesfar Nejah
Correction de la série N2 limite continuité


Bac Eco


ADEL GHRAIRI😍😍🇹🇳

👍 1
Chargement...
0 Commentaires
  

Commentaires

Aucun commentaire pour le moment.

Photo de Mesfar Nejah
Cours matrice


ADEL GHRAIRI


BAC ECO

+6
0 Commentaires
  

Commentaires

Aucun commentaire pour le moment.

Photo de Mesfar Nejah
Corection de série 0 matrice


BAC ECO
 

Mr ADEL GHRAIRI🇹🇳😍🇹🇳

0 Commentaires
  

Commentaires

Aucun commentaire pour le moment.

Photo de Mesfar Nejah

Correction devoir de contrôle  2 ❤️  MATH 

BAC Eco

+14
0 Commentaires
  

Commentaires

Aucun commentaire pour le moment.

Photo de Mesfar Nejah

EXAMEN DU BACCALAURÉAT 2023 

SP ❤️ Section : Economie et Gestion 📊 ÉPREUVE : mathématique avec correction ✅

+7
0 Commentaires
  

Commentaires

Aucun commentaire pour le moment.

Photo de Mesfar Nejah

Devoir de synthèse N°1 & corrigé 🛎🎯

Bac Eco & Gestion⏳🛒📊📈

+3
0 Commentaires
  

Commentaires

Aucun commentaire pour le moment.

Photo de Mesfar Nejah
Limite et continuité 💜💜💜
Mr wassim kadri
+13
0 Commentaires
  

Commentaires

Aucun commentaire pour le moment.

Photo de Mesfar Nejah


هاذي سلسلة من القواعد في مادّة الرياضيّات لباكالوريا إقتصاد و تصرّف 2024 📚
| الأستاذ : وسيم برّحيمة
+8
0 Commentaires
  

Commentaires

Aucun commentaire pour le moment.

Photo de Mesfar Nejah

**Excellente correction et Barème de l'examen_National du BAC 2024**
Section : Economie et gestion**
Épreuve : Mathématique**
Session : Principale 2024**
** Merci à Mr Monji Saiem Siam**
+8
0 Commentaires
  

Commentaires

Aucun commentaire pour le moment.

Photo de Mesfar Nejah
BAC 2024 Session Principale
Section Maths , SC , TECH et ECO
Merci àMongi Saiem
+12
0 Commentaires
  

Commentaires

Aucun commentaire pour le moment.

Photo de Mesfar Nejah
امتحان الرياضيات - شعبة الإقتصاد والتصرف - الدورة الرئيسية للبكالوريا 2024 .

+2
0 Commentaires
  

Commentaires

Aucun commentaire pour le moment.

Photo de Ben haouala anis
Examens Baccalaureat Mathematique
Section:Economie
1
0 Commentaires
  

Commentaires

Aucun commentaire pour le moment.

Photo de Mesfar Nejah
Bac 2023 corrigé BAC ECO-GES
+10
1
0 Commentaires
  

Commentaires

Aucun commentaire pour le moment.

Photo de Mesfar Nejah
📝DEVOIR MATHS BAC BLANC
4 ÈME ANNÉE ÉCONOMIE ET GESTION
LYCEE CHEBBI TATAOUINE
+1
0 Commentaires
  

Commentaires

Aucun commentaire pour le moment.

Photo de Mesfar Nejah

Résumé statistiques pour bac
+4
0 Commentaires
  

Commentaires

Aucun commentaire pour le moment.

Photo de المؤدب

Probabilite
1
1
0 Commentaires
  

Commentaires

Aucun commentaire pour le moment.

Photo de Mesfar Nejah
Exercice Matrice corrigé d'après bac principale 2023 pour Bac info et Bac Eco
Mr JELASSI Adel
+6
0 Commentaires
  

Commentaires

Aucun commentaire pour le moment.

Photo de Mesfar Nejah
🍀Correction épreuve mathématiques bac économie session principale 2015
🌸Thèmes Suite reelle graphe probabiliste matrice fonction exponentielle et intégral
+6
0 Commentaires
  

Commentaires

Aucun commentaire pour le moment.

classi.tn
🤖 classi.tn
مرحبًا! ماذا تريد أن تفعل اليوم؟