Chatbox

Bac Econmie et Gestion

Chargement 0%
Aucun texte alternatif disponible.

Confirmer?

Rechercher dans cette classe


Photo de Mesfar Nejah
Série de révision fonction logarithme et exponentielle pour 4ème économie et gestion + corrigé
Merci à l'auteur de ce travail
+5
0 Commentaires
  

Commentaires

Aucun commentaire pour le moment.

Photo de Classi.tn
BAC éco (Rappel de calcul)
+2
0 Commentaires
  

Commentaires

Aucun commentaire pour le moment.

Photo de Classi.tn
Fonction Exponentielle : Résumé de cours avec une application pour les bacheliers , spécialité : Sciences, Math, Tech, Info et Eco Gestion
Merci à l'auteur de ce travail
+11
0 Commentaires
  

Commentaires

Aucun commentaire pour le moment.

Photo de Classi.tn
Bac Eco : Graphe
Révision 2
+4
0 Commentaires
  

Commentaires

Aucun commentaire pour le moment.

Photo de Classi.tn
Révision bac info-eco
Proba
+6
0 Commentaires
  

Commentaires

Aucun commentaire pour le moment.

Photo de Classi.tn
ln
technique generale pour répondre à
chaque question
Merci à l'auteur de ce travail Khalil Allali
+5
0 Commentaires
  

Commentaires

Aucun commentaire pour le moment.

Photo de Classi.tn
calculatrice casio
Chapitre statistique
Merci à l'auteur de ce travail Khalil Allali
0 Commentaires
  

Commentaires

Aucun commentaire pour le moment.

Photo de Classi.tn
Exercice probabilite
Style bac
Merci à l'auteur de ce travail Khalil Allali
+9
0 Commentaires
  

Commentaires

Aucun commentaire pour le moment.

Photo de Classi.tn
Statistique : bac Eco- Calculatrice - Casio - FX 991 ES Plus et Sharp EL - W 506T
0 Commentaires
  

Commentaires

Aucun commentaire pour le moment.

Photo de Classi.tn
💜 BAC ÉCONOMIE 💜
📃 maths Dérivation-primitives
Résumé + Exercices ✅👌
------‐------------------------------------------------------------
+9
0 Commentaires
  

Commentaires

Aucun commentaire pour le moment.

Photo de Classi.tn
Des Formules

🥇 Statistiques
🥈 Probabilité
🥉 Matrice
+6
0 Commentaires
  

Commentaires

Aucun commentaire pour le moment.

Photo de Classi.tn
Bac Economie
Résumé Fonction Logarithme et Fonction Exponentielle
0 Commentaires
  

Commentaires

Aucun commentaire pour le moment.

Photo de Classi.tn
Serie de revision d'été matrices et systèmes lineaires pour bac économie /sc informatique
Grand merci Mr Mejri Fathi pour l'énoncé
+13
0 Commentaires
  

Commentaires

Aucun commentaire pour le moment.

Photo de Classi.tn
Cours complet : Les graphes (#version\_1)
Bac Éco& Ges
+31
0 Commentaires
  

Commentaires

Aucun commentaire pour le moment.

Photo de Classi.tn
Sujet de Révision N°1
Matrice
4 ÈME ( Eco.Ges )
Bac Économie et Gestion
+2
0 Commentaires
  

Commentaires

Aucun commentaire pour le moment.

Photo de Classi.tn
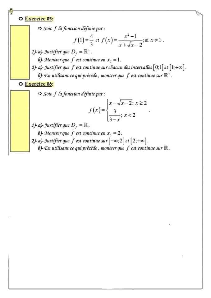
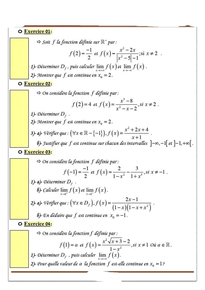
Serie de revision limites et continuités pour bac économie
+19
0 Commentaires
  

Commentaires

Aucun commentaire pour le moment.

Photo de Classi.tn
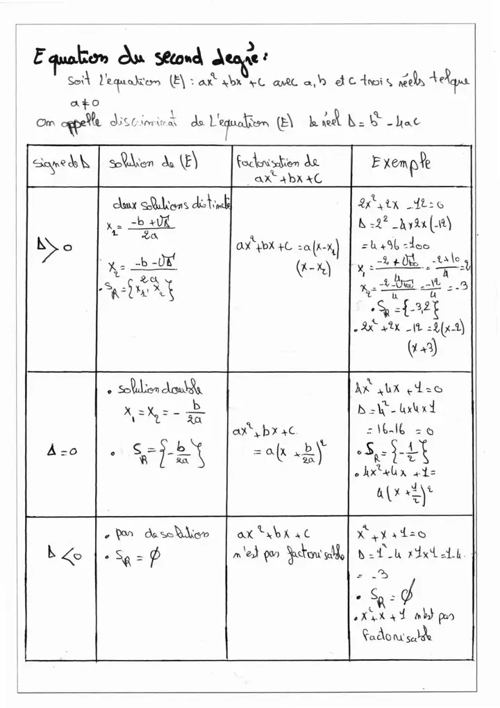
Série limites et continuités + correction
toutes sections
+14
0 Commentaires
  

Commentaires

Aucun commentaire pour le moment.

Photo de Classi.tn
Série de révision etude de fonctions +probabilité + statistiques + matrices+ correction (2ème trimestre)
(bac économie 2021/2022)
+18
0 Commentaires
  

Commentaires

Aucun commentaire pour le moment.

Photo de Classi.tn
revision mathematique
chapitre :probabilite
chapitre :statistique
chapitre:graphe
+13
0 Commentaires
  

Commentaires

Aucun commentaire pour le moment.

classi.tn
🤖 classi.tn
مرحبًا! ماذا تريد أن تفعل اليوم؟