Chatbox

Bac Econmie et Gestion

Chargement 0%
Aucun texte alternatif disponible.

Confirmer?

Rechercher dans cette classe


Photo de Mesfar Nejah


هاذي سلسلة من القواعد في مادّة الرياضيّات لباكالوريا إقتصاد و تصرّف 2024 📚
| الأستاذ : وسيم برّحيمة
+8
0 Commentaires
  

Commentaires

Aucun commentaire pour le moment.

Photo de Classi.tn
Série Matrice avec correction Bac Économie-Gestion
Merci à l'auteur de ce travail Gharsellaoui Abderrahmen
+1
0 Commentaires
  

Commentaires

Aucun commentaire pour le moment.

Photo de Classi.tn
Serie : Suite + Statistiques avec correction
+3
0 Commentaires
  

Commentaires

Aucun commentaire pour le moment.

Photo de Classi.tn
Exercice suite+ corrige
Merci à Mr Allali Khalil
+4
0 Commentaires
  

Commentaires

Aucun commentaire pour le moment.

Photo de Classi.tn
Résumé
chapitre intégral
Merci à l'auteur de ce travail khalil Allali
0 Commentaires
  

Commentaires

Aucun commentaire pour le moment.

Photo de Classi.tn
Exercice etude de fonctions
Merci à l'auteur de ce travail Khalil Allali
+2
1
0 Commentaires
  

Commentaires

Aucun commentaire pour le moment.

Photo de Classi.tn
Exercice graphe
Merci à l'auteur de ce travail Khalil Allali
+3
0 Commentaires
  

Commentaires

Aucun commentaire pour le moment.

Photo de Ennachet Yosra
bac2013
corrige math
1
0 Commentaires
  

Commentaires

Aucun commentaire pour le moment.

Photo de Classi.tn
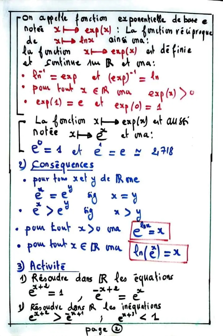
Cours Exponentielle 😍😍
Des exercices avec corrections ✔️✔️
+13
0 Commentaires
  

Commentaires

Aucun commentaire pour le moment.

Photo de Classi.tn
Serie limite et continuité
+1
0 Commentaires
  

Commentaires

Aucun commentaire pour le moment.

Photo de Classi.tn
✅ Série corrigé Graphe
Bac Éco ❤
+9
0 Commentaires
  

Commentaires

Aucun commentaire pour le moment.

Photo de Classi.tn
Bac Économie-Gestion 2022/2023
Exercice Graphe Non Orienté avec correction
+13
0 Commentaires
  

Commentaires

Aucun commentaire pour le moment.

Photo de Classi.tn

exercice statistiques correction
ا
+3
0 Commentaires
  

Commentaires

Aucun commentaire pour le moment.

Photo de Classi.tn
💜 BAC Économie Gestion 💜
📃 Exercice corrigé
Dérivabilité+ fonction réciproque
+2
0 Commentaires
  

Commentaires

Aucun commentaire pour le moment.

Photo de Classi.tn
💥Sujet de révision corrigé Bac éco
🌸Thèmes Matrice | exponentielle | Graphe|Stat | logarithme népérien |Lecture graphique
+1
0 Commentaires
  

Commentaires

Aucun commentaire pour le moment.

Photo de Classi.tn
💥Préparation #Bac\_2022💥
💫Limite continuité dérivé lecture graphique Bac-éco 💫
~Bon Courage et Bonne Chance 🙂
+3
0 Commentaires
  

Commentaires

Aucun commentaire pour le moment.

Photo de Classi.tn
Bac éco
Thème:Limite continuité dérivé Matrice
+1
0 Commentaires
  

Commentaires

Aucun commentaire pour le moment.

Photo de Classi.tn
Série de révision bac économie 2022/2023+ correction (limites, continuités, théorème de valeurs intermédiaire, fonctions composées, matrices)
+15
1
0 Commentaires
  

Commentaires

Aucun commentaire pour le moment.

Photo de Classi.tn
3ème et Bac Economie
Série N°1 Graphes non orientés
+2
0 Commentaires
  

Commentaires

Aucun commentaire pour le moment.

Photo de Classi.tn
3ème et Bac Economie
Série N°1 Dérivabilité
+3
0 Commentaires
  

Commentaires

Aucun commentaire pour le moment.

classi.tn
🤖 classi.tn
مرحبًا! ماذا تريد أن تفعل اليوم؟