Chatbox

9ème pilote تاسعة نموذجي

Chargement 0%
Aucun texte alternatif disponible.

Confirmer?


Photo de Mesfar Nejah
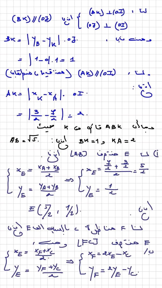
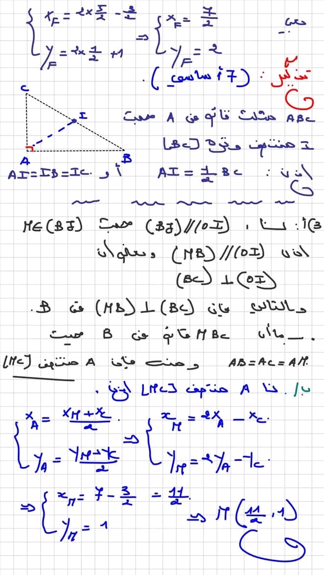
إصلاح فرض نموذجي عدد 1 لمادة الرياضيات :مستوى 9أساسي
Preview
1730809669950.jpg
0
Preview
1730809671592.jpg
0
Preview
1730809673187.jpg
0
Preview
1730809674841.jpg
0
Preview
1730809674841_1730809784.jpg
0
Preview
1730809677486.jpg
0
Preview
1730809679170.jpg
0
Preview
1730809680763.jpg
0
Preview
1730809682345.jpg
0
1032910.pdf
0

Notre chaîne Classi.tn ❤️

Rejoignez notre communauté sur Messenger pour ne rien rater de nos actualités, astuces et contenus exclusifs !

Messenger
Classi.tn - Plateforme éducative tunisienne
Rejoindre la chaîne
Communauté active
Notifications exclusives
Contenus éducatifs