Chatbox

1ère année secondaire

Chargement 0%
Aucun texte alternatif disponible.

Confirmer?

Rechercher dans cette classe


📹 VIDÉOS MATH ET INFO EN LIGNE
Publicité vidéo
Regarder des séances math en ligne enregistrées
Des cours en vidéo pour améliorer votre apprentissage

Math 300

Rapports trigonométriques d'un angle aigu . 6

Relations métriques dans un triangle rectangle 0

Somme de deux vecteurs -vecteurs colinéaires 3

Systèmes de deux équations à deux inconnues 14

Géométrie dans l'espace 3

🎯 Examens du Deuxième Trimestre

📚 Préparez vos examens

Découvrez tous les examens et exercices du Deuxième Trimestre au même endroit!


Deprecated: htmlspecialchars(): Passing null to parameter #1 ($string) of type string is deprecated in /www/classi.tn/includes/publication-functions.php on line 22

Deprecated: htmlspecialchars(): Passing null to parameter #1 ($string) of type string is deprecated in /www/classi.tn/includes/publication-functions.php on line 22

Deprecated: htmlspecialchars(): Passing null to parameter #1 ($string) of type string is deprecated in /www/classi.tn/includes/publication-functions.php on line 22
Photo de Classi.tn
devoir de synthese
n°1math correction
1er annee secondaire
Merci à Mr Ben Wannes Lassad
+4
0 Commentaires
  

Commentaires

Aucun commentaire pour le moment.

Photo de Classi.tn
✅️1er Année Sport 🇵🇸🇦🇹🇹🇳💪🔥
🎯Devoir de Synthèse N°1 Sujet Commun
✍️Commissariat Régional Tunis 1
0 Commentaires
  

Commentaires

Aucun commentaire pour le moment.

Photo de Classi.tn
✅️1er Année Secondaire 🇵🇸🇦🇹🇹🇳💪🔥
🎯Devoir de Synthèse N°1 Sujet Commun avec Correction et Barème de notation
✍️Commissariat Régional Tunis 1
+4
0 Commentaires
  

Commentaires

Aucun commentaire pour le moment.

Photo de Classi.tn
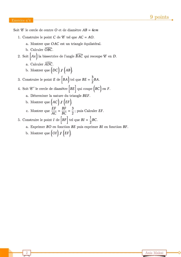
Devoir Synthèse 1er
Lyceé Al Amra Sfax
Mr Anis Makni
+2
0 Commentaires
  

Commentaires

Aucun commentaire pour le moment.

Photo de Mohamed
Devoir de synthese n1
1
0 Commentaires
  

Commentaires

Aucun commentaire pour le moment.

Photo de Classi.tn
✅️1ére année secondaire 🇹🇳🇦🇹🇵🇸
🎯DS N° 1 avec correction
🎯Lycée pilote Menzeh 8
✍️Sami Lakhdar
+8
1
0 Commentaires
  

Commentaires

Aucun commentaire pour le moment.

Photo de Classi.tn
DEVOIR DE SYNTHESE DE MATHEMATIQUES N°1+CORRECTION
1ERE ANNEE SECONDAIRE
+2
1
1
0 Commentaires
  

Commentaires

Aucun commentaire pour le moment.

Photo de Classi.tn
Devoir synthèse 1 Math avec Correction 1ere . pilote
+6
1
1
0 Commentaires
  

Commentaires

Aucun commentaire pour le moment.

Photo de Classi.tn
Pour 1ère année
Devoir de Synthèse N⁰1 Math
1 Commentaires
  

Commentaires

MissfothaMissfotha
Correction svp
Le 2023-12-05 à 20:19:00
Photo de Classi.tn
1er année secondaire
Résion pr le DS1
+5
1
0 Commentaires
  

Commentaires

Aucun commentaire pour le moment.

Photo de
Devoir de synthèse math

0 Commentaires
  

Commentaires

Aucun commentaire pour le moment.

Photo de
Devoir de synthèse math
0 Commentaires
  

Commentaires

Aucun commentaire pour le moment.

Photo de
Devoir de synthèse math
0 Commentaires
  

Commentaires

Aucun commentaire pour le moment.

classi.tn
🤖 classi.tn
مرحبًا! ماذا تريد أن تفعل اليوم؟