Chatbox

Bac Sc expérimentales

Chargement 0%
Aucun texte alternatif disponible.

Confirmer?

Rechercher dans cette classe


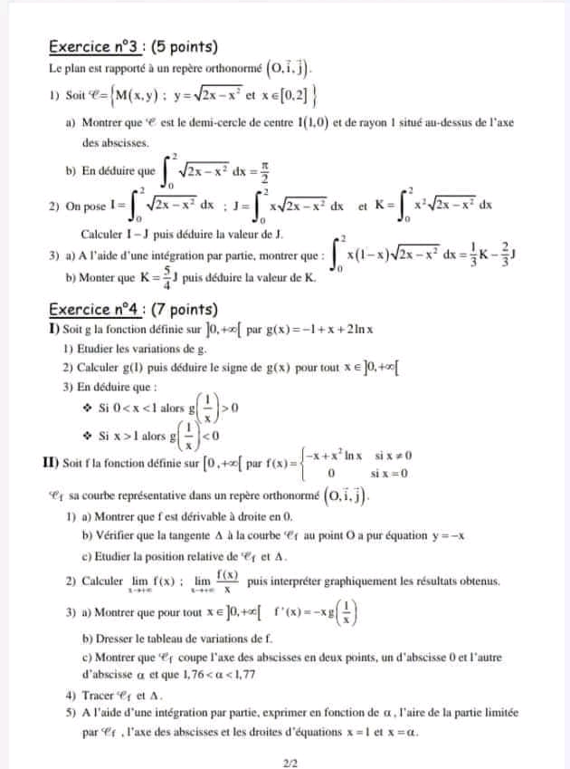
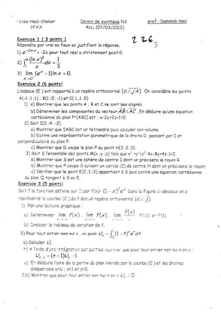
Math 197

Photo de Classi.tn
Math devoir de synthèse n 2 math corr
Lycée hedi chaker sfax
Merci à l'auteur de ce travail

+3
0 Commentaires
  

Commentaires

Aucun commentaire pour le moment.

Photo de Mesfar Nejah
Devoir de Synthèse N°2 pour bac Sc.Exp. avec une correction détaillée.
+8
0 Commentaires
  

Commentaires

Aucun commentaire pour le moment.

Photo de Classi.tn
Devoir synthese 2 math bac sc
+2
0 Commentaires
  

Commentaires

Aucun commentaire pour le moment.

Photo de Classi.tn
Pour 4ème Sciences
Devoir de Synthèse N⁰2
Une correction
+7
0 Commentaires
  

Commentaires

Aucun commentaire pour le moment.

Photo de Classi.tn
devoir ee synthese n 2 math
bac science
0 Commentaires
  

Commentaires

Aucun commentaire pour le moment.

classi.tn
🤖 classi.tn
مرحبًا! ماذا تريد أن تفعل اليوم؟