Chatbox

9 ème-التاسعة أساسي

Chargement 0%
Aucun texte alternatif disponible.

Confirmer?

البحث في هذا الفصل


📹 VIDÉOS MATH ET INFO EN LIGNE
Publicité vidéo
Regarder des séances math en ligne enregistrées
Des cours en vidéo pour améliorer votre apprentissage

Math 742

التعداد والحساب في مجموعة الأعداد الحقيقية IR 5

العمليات في مجموعة الأعداد الحقيقية 14

القوى في مجموعة الأعداد الحقيقية 9

الترتيب والمقارنة في مجموعة الأعداد الحقيقية 10

الجذاءات المعتبرة والعبارات الجبرية 21

المعادلات والمتراجحات من الدرجة الأولى ذات مجهول و 10

العلاقات القياسية في المثلث 10

🎯 امتحانات الثلاثي الثاني

📚 استعد للامتحانات

اكتشف جميع الامتحانات والتمارين الثلاثي الثاني في مكان واحد!

Photo de Mesfar Nejah
فرض تاليفي عدد 1 تاسعة اساسي مراجعة عامة لثلاثي الاول واستعداد لمناظرة النوفيام2026
+6
0 Commentaires
  

Commentaires

Aucun commentaire pour le moment.

Photo de Classi.tn

تاسعة أساسي

فرض تاليفي عدد1

الاعدادية النوذجية علي طراد و ضفاف البحيرة


0 Commentaires
  

Commentaires

Aucun commentaire pour le moment.

Photo de Classi.tn
فرض تأليفي جهوي رياضيات بالاصلاح
+4
0 Commentaires
  

Commentaires

Aucun commentaire pour le moment.

Photo de Classi.tn

تاسعة أساسي

الفرض التأليفي الاعدادية النموذجية بقفصة

+1
0 Commentaires
  

Commentaires

Aucun commentaire pour le moment.

Photo de Classi.tn

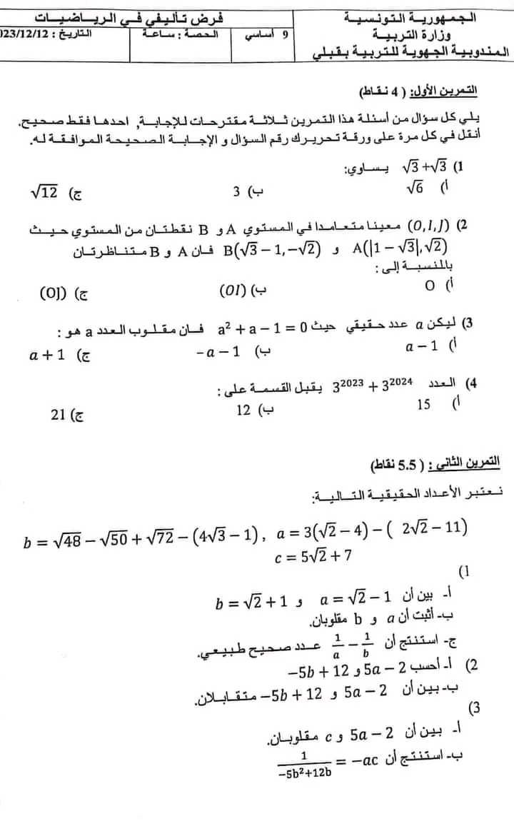
الفرض الموحد للثلاثي الأول لتلاميذ التاسعة أساسي 

المندوبية الجهوية للتربية بقبلي

0 Commentaires
  

Commentaires

Aucun commentaire pour le moment.

Photo de Sami Mesfar

فرض تأليفي موحد تاسعة أساسي بالاصلاح

+18
0 Commentaires
  

Commentaires

Aucun commentaire pour le moment.

Photo de Fethi ben Mohamed prof.math. sciences
ف.تاليفي في الرياضيات سنة تاسعة اساسي
❤️ 1
Chargement...
0 Commentaires
  

Commentaires

Aucun commentaire pour le moment.

Photo de Fethi ben Mohamed prof.math. sciences
 فرض تاليفي ثلاثي اول - رياضيات سنة تاسعة
0 Commentaires
  

Commentaires

Aucun commentaire pour le moment.

Photo de Fethi ben Mohamed prof.math. sciences
فرض تاليفي1 سنة تاسعة 
0 Commentaires
  

Commentaires

Aucun commentaire pour le moment.

Photo de jilani bessaad
فرض تأليفي عدد1 في الرياضيات
0 Commentaires
  

Commentaires

Aucun commentaire pour le moment.

Photo de Mesfar Nejah
فرض #تاليفي جامع عدد 1 في #الرياضيات
مع #الاصلاح
لتلاميذ السنة #التاسعة أساسي
+2
0 Commentaires
  

Commentaires

Aucun commentaire pour le moment.

Photo de Classi.tn
Afficher suite
+4
0 Commentaires
  

Commentaires

Aucun commentaire pour le moment.

Photo de Classi.tn
فرض تأليفي عدد 1 رياضيات بالاصلاح تاسعة
+2
0 Commentaires
  

Commentaires

Aucun commentaire pour le moment.

Photo de Classi.tn
فرض تاليفي موحد (تونس1) عدد 1 في مادة الرياضيات تاسعة أساسي
+1
0 Commentaires
  

Commentaires

Aucun commentaire pour le moment.

Photo de Classi.tn
فرض تأليفي عدد 1 مع الإصلاح المستوى 9 أساسي رياضيات (جهوي سوسة ) 2023-2024
+4
1 Commentaires
  

Commentaires

Ramzi MoussaRamzi Moussa
السلام عليكم.<div>لا يوجد اصلاح</div>
Le 2024-12-06 à 10:25:00
Photo de Classi.tn
الفرض التأليفي1 في الرياضيات للسنوات 9 ،
+3
0 Commentaires
  

Commentaires

Aucun commentaire pour le moment.

Photo de Classi.tn
الفرض التأليفي الموحد عدد 1 في الرياضيات للسنوات 9 ، المندوبية الجهوية للتربية بقبلي
0 Commentaires
  

Commentaires

Aucun commentaire pour le moment.

Photo de Classi.tn
فرض تأليفي موحد عدد1
سوسة
9اساسي
بالتوفيق للجميع
0 Commentaires
  

Commentaires

Aucun commentaire pour le moment.

Photo de Classi.tn
فرض تاليفي عدد 1 في الرياضيات
مرفق بالاصلاح
لتلاميذ السنة التاسعة اساسي
+5
0 Commentaires
  

Commentaires

Aucun commentaire pour le moment.

Photo de Classi.tn
✅️تاسعة أساسي 🇵🇸🇦🇹🇹🇳
🎯الإستعداد للفرض التأليفي عدد 1.
النموذج الأوّل👇
✍️
+6
0 Commentaires
  

Commentaires

Aucun commentaire pour le moment.

classi.tn
🤖 classi.tn
مرحبًا! ماذا تريد أن تفعل اليوم؟