Chatbox

Bac math

Chargement 0%
Aucun texte alternatif disponible.

Confirmer?

Rechercher dans cette classe


Physique 214

Oscillations Electrique en regime sinusoidal 0

Oscillations libre d'un pendule elastique 0

Oscillations Forcée d'un pendule elastique en regime sinusoïdal 0

Photo de Science__physique
Dipôle RC - Série d'exercices
+13
0 Commentaires
  

Commentaires

Aucun commentaire pour le moment.

Photo de Mesfar Nejah
🎯Bac M, Sc, Info🎯Sciences Physiques🎯
🎯Exercices Correction🎯
+13
0 Commentaires
  

Commentaires

Aucun commentaire pour le moment.

Photo de Science__physique
Série LA RADIOACTIVITÉ - Bac Math
+7
0 Commentaires
  

Commentaires

Aucun commentaire pour le moment.

Photo de Science__physique
Série Le Noyau Atomique - Bac Math
0 Commentaires
  

Commentaires

Aucun commentaire pour le moment.

Photo de Science__physique
Série Le Spectre Atomique ( bac Math )
+11
0 Commentaires
  

Commentaires

Aucun commentaire pour le moment.

Photo de Science__physique
Série L'interaction Onde - Matière ( bac Math )
+4
0 Commentaires
  

Commentaires

Aucun commentaire pour le moment.

Photo de Science__physique
Exercice couple acide base - bac Math
0 Commentaires
  

Commentaires

Aucun commentaire pour le moment.

Photo de Science__physique
Ondes mécaniques progressive - Bac math
+3
0 Commentaires
  

Commentaires

Aucun commentaire pour le moment.

Photo de Science__physique
Série (pH des solutions aqueuses) + corrigé - Bac Math + Sc
+3
1 Commentaires
  

Commentaires

Roudayna barhoumiRoudayna barhoumi
Le 2024-03-19 à 21:30:00
Photo de Science__physique
Série (pH des solutions aqueuses) + corrigé - Bac Math + SC
+6
0 Commentaires
  

Commentaires

Aucun commentaire pour le moment.

Photo de Science__physique
Série Corrigé : Onde se propageant Le long d'une Corde - Bac Math + Tech + Sc
+8
0 Commentaires
  

Commentaires

Aucun commentaire pour le moment.

Photo de Science__physique
Série de révision : Ondes mécaniques Progressive - Bac Math + Tech + Sc
0 Commentaires
  

Commentaires

Aucun commentaire pour le moment.

Photo de Science__physique
SÉRIE RLC forcé - Bac Math+Tech+ Sc
+2
0 Commentaires
  

Commentaires

Aucun commentaire pour le moment.

Photo de Science__physique
SÉRIE RLC forcé - Bac Math+Tech+ Sc
+4
0 Commentaires
  

Commentaires

Aucun commentaire pour le moment.

Photo de Science__physique
Série d'exercices corrigés ( Acide -Base) - Bac MathMath + tech + SC
+5
0 Commentaires
  

Commentaires

Aucun commentaire pour le moment.

Photo de Science__physique
SÉRIE RLC forcé - Bac Math+Tech+ Sc
+3
0 Commentaires
  

Commentaires

Aucun commentaire pour le moment.

Photo de Science__physique
SÉRIE RLC forcé - Bac Math+Tech+ Sc
0 Commentaires
  

Commentaires

Aucun commentaire pour le moment.

Photo de Science__physique
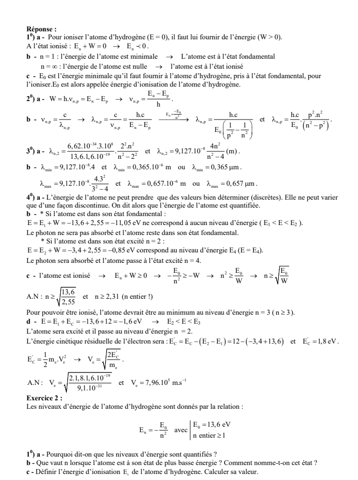
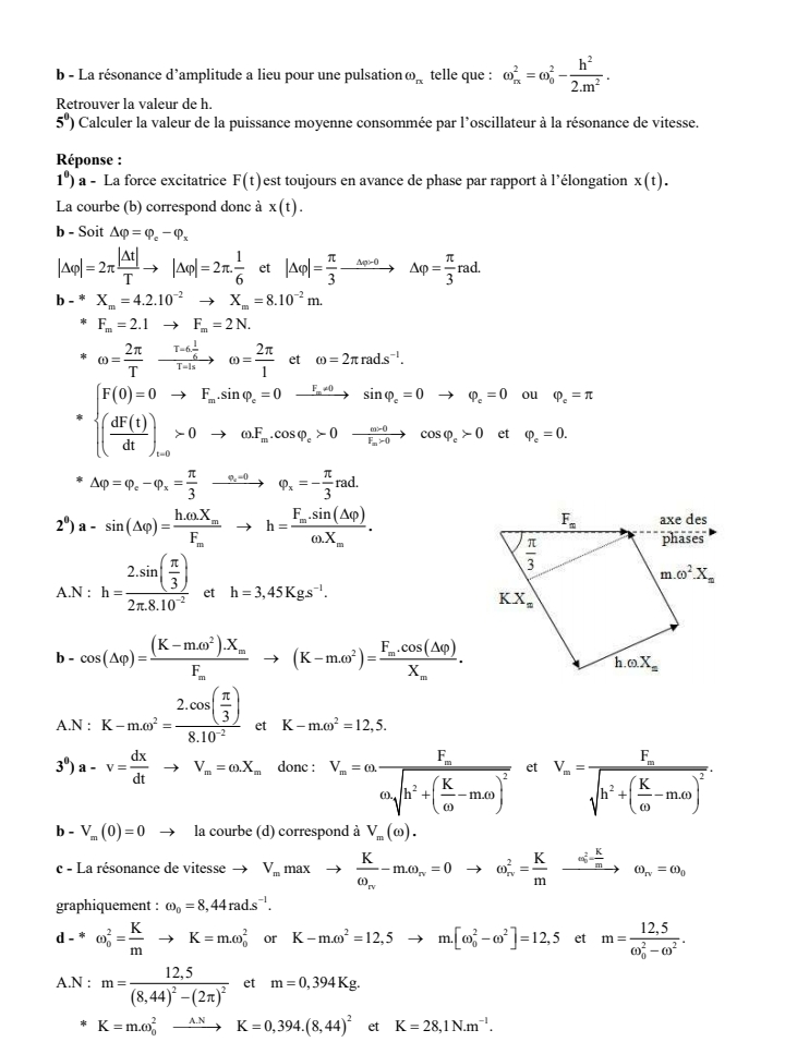
Exercices corrigés - LES OSCILLATIONS MÉCANIQUES FORCÉES EN RÉGIME SINUSOÏDAL LA RÉSONANCE D’AMPLITUDE - bac Math
+2
0 Commentaires
  

Commentaires

Aucun commentaire pour le moment.

Photo de Science__physique
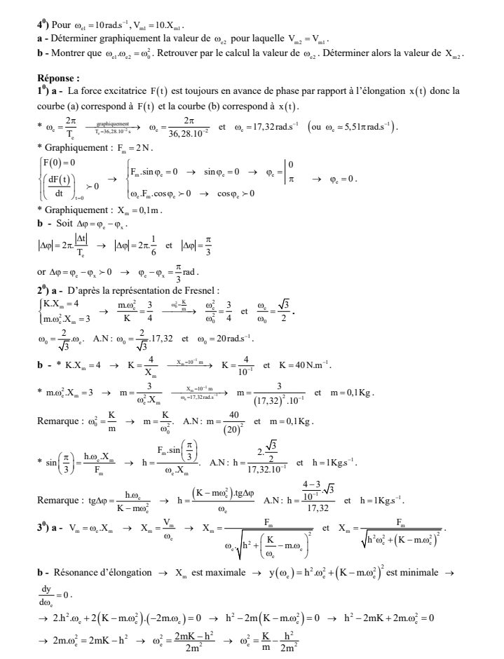
Exercices corrigés - LES OSCILLATIONS MÉCANIQUES FORCÉES EN RÉGIME SINUSOÏDAL LA RÉSONANCE D’AMPLITUDE - bac Math
+3
0 Commentaires
  

Commentaires

Aucun commentaire pour le moment.

Photo de Science__physique
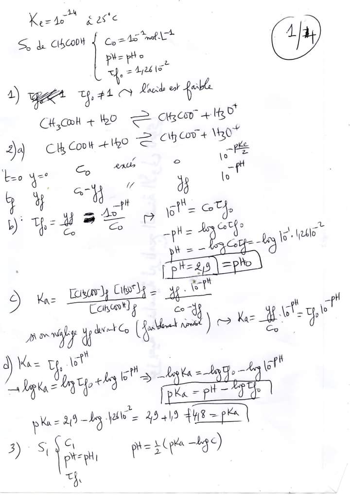
Exercice corrigé - LES SOLUTIONS AQUEUSES D’ACIDES ET DE BASES - bac Math
+3
0 Commentaires
  

Commentaires

Aucun commentaire pour le moment.

classi.tn
🤖 classi.tn
مرحبًا! ماذا تريد أن تفعل اليوم؟