Chatbox

Bac math

Chargement 0%
Aucun texte alternatif disponible.

Confirmer?

Rechercher dans cette classe


Math 252

Photo de Classi.tn
𝕯𝖊𝖛𝖔𝖎𝖗 𝖉𝖊 𝖘𝖞𝖓𝖙𝖍è𝖘𝖊 𝖓°3 (𝕭𝖆𝖈 𝖇𝖑𝖆𝖓𝖈)
+ Correction
4è𝖒𝖊 𝕸𝖆𝖙𝖍𝖘 2023
Merci pour Mr Hichem Zaghden
+10
0 Commentaires
  

Commentaires

Aucun commentaire pour le moment.

Photo de Classi.tn
Devoir de synthese n°3 mathematique +Correction
+17
0 Commentaires
  

Commentaires

Aucun commentaire pour le moment.

Photo de Classi.tn
DEVOIR DE SYNTHÈSE 4M PILOTE MENZEH 8 2020
Merci à l'auteur de ce travail Mr Lakthar
+3
0 Commentaires
  

Commentaires

Aucun commentaire pour le moment.

classi.tn
🤖 classi.tn
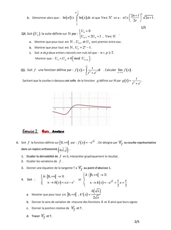
مرحبًا! ماذا تريد أن تفعل اليوم؟