Chatbox

Bac math

Chargement 0%
Aucun texte alternatif disponible.

Confirmer?

Rechercher dans cette classe


Math 252

Photo de Mesfar Nejah
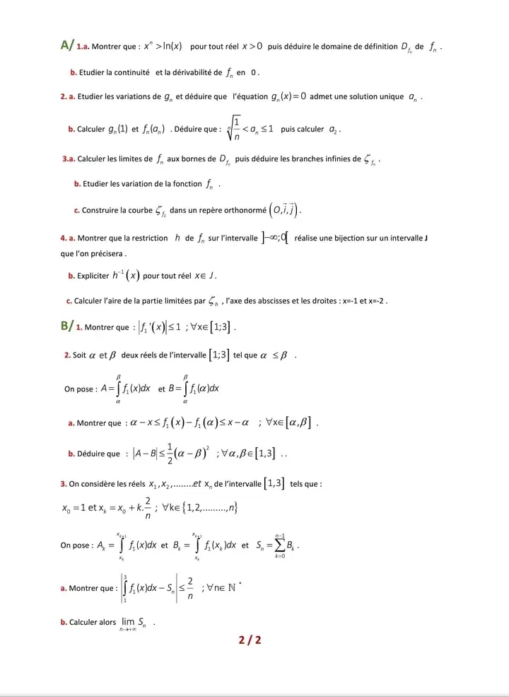
devoir de contrôle 3 Bac Math avec une correction
+5
0 Commentaires
  

Commentaires

Aucun commentaire pour le moment.

Photo de Mesfar Nejah
Super-magnifique Devoir de contrôle N°3 pour 4ème Maths avec excellente correction détaillée 2023/2024
International School of Elite
Mr Abdelbasset Laataoui
+12
0 Commentaires
  

Commentaires

Aucun commentaire pour le moment.

Photo de Classi.tn
Devoir contrôle 3 + correction Bac Math
Merci à l'auteur de ce travail
+4
0 Commentaires
  

Commentaires

Aucun commentaire pour le moment.

Photo de Classi.tn
Devoir de contrôle n°3 Lycée pilote tunis BAC Math 2022-2023
0 Commentaires
  

Commentaires

Aucun commentaire pour le moment.

Photo de Classi.tn
4M Devoir de contrôle 3 lycée pilote menzah8
1
0 Commentaires
  

Commentaires

Aucun commentaire pour le moment.

Photo de Classi.tn
4M CONTRÔLE 3 2022. lycée pilote menzah8
0 Commentaires
  

Commentaires

Aucun commentaire pour le moment.

classi.tn
🤖 classi.tn
مرحبًا! ماذا تريد أن تفعل اليوم؟