Chatbox

7ème pilote سابعة نموذجي

Chargement 0%
Aucun texte alternatif disponible.

Confirmer?

البحث في هذا الفصل


رياضيات 68

الأعداد العشرية _الأعداد الكسرية 0

الموشور القائم _الدائرة الاسطوانية القائمة 0

Photo de Mesfar Nejah

🌹فرض مراقبة عدد  6 رياضيات 

🌹مرفق بالاصلاح 

 سنة سابعة نموذجي

شكرا لصاحب العمل عادل بن يونس

+6
0 Commentaires
  

Commentaires

Aucun commentaire pour le moment.

Photo de Sami Mesfar
اصلاح فرض مراقبة عدد 5
0 Commentaires
  

Commentaires

Aucun commentaire pour le moment.

Photo de Classi Interactif

فرض مراقبة عدد 3 الثلاثي الثاني في مادة الرياضيات بالاصلاح 

+2
0 Commentaires
  

Commentaires

Aucun commentaire pour le moment.

Photo de Classi Interactif

فرض مراقبة عدد 3 الثلاثي الثاني في مادة الرياضيات بالاصلاح 

+3
0 Commentaires
  

Commentaires

Aucun commentaire pour le moment.

Photo de Classi Interactif

فرض مراقبة عدد4 في مادة الرياضيات بالاصلاح 

+2
0 Commentaires
  

Commentaires

Aucun commentaire pour le moment.

Photo de Classi Interactif

فرض مراقبة عدد 3 الثلاثي الثاني في مادة الرياضيات 

+19
0 Commentaires
  

Commentaires

Aucun commentaire pour le moment.

Photo de Kaouther
devoir de contrôle 6 math
1
0 Commentaires
  

Commentaires

Aucun commentaire pour le moment.

Photo de Classi.tn
Afficher suite
+7
0 Commentaires
  

Commentaires

Aucun commentaire pour le moment.

Photo de Classi.tn
فرض مراقبة عدد 5 مستوى 7 أساسي نموذجي مدنين أفريل 2022 مع الإصلاح

+4
3 Commentaires
  

Commentaires

Ouertatani Ouertatani
شكرًا
Le 2023-04-14 à 07:47:00
MASMOUDI WISSEMMASMOUDI WISSEM
شكرا
Le 2023-04-12 à 22:27:00
Jlassi fathiJlassi fathi
شكرا
Le 2023-04-11 à 11:21:00
Photo de Classi.tn
Afficher suite
+1
0 Commentaires
  

Commentaires

Aucun commentaire pour le moment.

Photo de Classi.tn
فرض مراقبة عدد 5 رياضيات سابعة اساسي نموذجي

0 Commentaires
  

Commentaires

Aucun commentaire pour le moment.

Photo de Classi.tn
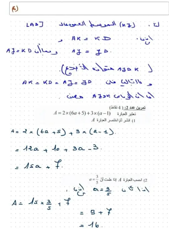
فرض مراقبة عدد 5 رياضيات بالاصلاح
سابعة اساسي نموذجي



+8
0 Commentaires
  

Commentaires

Aucun commentaire pour le moment.

Photo de Classi.tn
فرض مراقبة عدد 5رياضيات سابعة اساسي نموذجي


+1
0 Commentaires
  

Commentaires

Aucun commentaire pour le moment.

classi.tn
🤖 classi.tn
مرحبًا! ماذا تريد أن تفعل اليوم؟